
미국 수학회에서 두 명의 10대 소녀가 피타고라스의 정리에 대한 새로운 증명을 프레젠테이션 한 것이 화제가 되고 있습니다. 응용수학 전문가인 키스 맥널티 씨는 "성별, 민족, 사회 인구학적 배경에 관계없이 기쁨과 열정이 있으면 누구나 연구 분야에서 우수성을 달성할 수 있음을 보여주는 놀라운 「사건」이라고 평한 것 외에, 그 증명 방법 자체가 파문을 불러일으키고 있습니다.
Here's How Two New Orleans Teenagers Found a New Proof of the Pythagorean Theorem | by Keith McNulty | Apr, 2023 | Medium
Here’s How Two New Orleans Teenagers Found a New Proof of the Pythagorean Theorem
An inspirational example of how elementary math is open to everyone
keith-mcnulty.medium.com
American Mathematical Society(미국 수학회, AMS)에서 루이지애나주 뉴올리언스 출신의 10대 소녀인 칼디아 존슨과 네키야 잭슨 2 사람이 프레젠테이션을 통해 피타고라스 정리의 새로운 증거를 보여주었습니다. 이 두 사람이 학생이고, 아프리카계 미국인 여성이라는 특징은 수학회의 대다수를 차지하는 인구와는 정반대가 되었기 때문에, 맥널티 씨는 "선택한 연구 분야에서의 우수성은 누구나 항상 달성 가능하다는 것을 고무하는 훌륭한 사건입니다."라고 코멘트.
또 맥널티 씨에 의하면, 이 프레젠테이션이 큰 화제를 낳은 데는 큰 이유가 있어, 증명 방법 자체가 저명한 수학자들조차 충격을 받을만한 것이었다고 합니다.
원래 피타고라스의 정리란, 「직각 삼각형의 3 변의 길이 중 2 변을 알고 있으면 나머지 1 변의 길이를 계산할 수 있다」라고 하는 것으로, 「a2 + b2 = c2」 라는 수식으로 표현됩니다만, 이 수식의 증명에는 수백 가지의 다른 패턴이 존재합니다.

이 피타고라스의 정리의 증명을, 「삼각법」을 이용해 실시한 것이 수학회에 큰 충격을 주었다고 맥날티 씨는 지적하고 있습니다. 삼각법이란, 삼각형의 모서리의 크기와 변의 길이의 관계를 기초로, 다른 증명이나 측량 등의 연구에 응용하는 학문 분야입니다만, 그 삼각법 자체가 피타고라스의 정리에 의존하고 있기 때문에 삼각법으로 피타고라스의 정리를 증명하는 것은 「전제에 결론을 집어넣는다」는 이른바 순환 논법(어떤 주장을 함에 있어 그 주장의 근거로 그 주장을 사용하는 오류)에 해당하기 때문에, 「피타고라스의 정리를 삼각법에 의해 증명하는 것은 불가능」이라고 여겨져 왔습니다.
그러나 맥널티 씨에 의하면, 「피타고라스의 정리는 삼각법으로 증명할 수 없다」라는 관점은 최근 수십 년간 의문시되는 케이스가 많아, 그 증명이 몇 번이나 시도되어 왔다고 합니다. 그러므로 존슨과 잭슨의 증명이 '최초의 삼각법에 의한 피타고라스의 정리 증명'은 아니지만, 맥널티는 그녀의 증명을 "지금까지 본 가장 아름답고, 가장 간단한 삼각법에 의한 증명일 수 있습니다."라고 높이 평가하고 있습니다. 이것은 젊고 날카로운 지성이 이뤄낸 업적이며, 많은 경험 풍부한 수학자들의 특징을 명확히 갖고 있는 흥미로운 사건이라고 맥널티 씨는 말했습니다.
삼각법을 이용한 피타고라스의 정리의 새로운 증명에 대해, 맥널티 씨는 아래 그림으로 나타내고 있습니다.
그림에서는, a≠b라고 가정한 변 a, b, c를 가지는 직각 삼각형에 대해서,
변 b와 c 사이의 각도를 α, 변 a와 c 사이의 각도를 β로 하고 있습니다.
이 직각 삼각형에 대해서
1) 변 b를 축으로 수평 방향으로 반전한 카피를 형성
2) 변 c에 수직인 직선 A를 β로부터 길게 긋는다.
3) 방금 그린 직선 A와 변 c가 만나도록 연결하는 직선 C를 길게 긋는다.
라는 3단계를 수행합니다. 그러면 큰 직각 삼각형이 형성되고, 그 안에 원래의 직각 삼각형과 유사한 직각 삼각형을 왼쪽 위부터 점차 작아지는 형태로 무한하게 그릴 수 있습니다. 이 "무한한 닮은꼴 삼각형 시퀀스"를 사용하여 직선 A와 직선 C의 길이를 도출하는 것이 존슨과 잭슨의 증명입니다.

그림에서 알 수 있듯이 세 번째 삼각형의 한 변은 2a로 표현되며
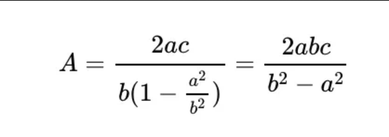
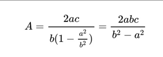
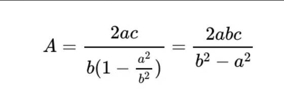
「sinα=consβ=a/c」와 「cosα=sinβ=b/c」라는 삼각비를 사용하면, 그 경사변은 「2a/sinβ=2ac/b」라고 나타낼 수 있습니다.
이와 같이, 무한으로 반복되는 닮은꼴 삼각형의 경우, 인접한 삼각형의 변으로부터 삼각비를 사용해 표현할 수가 있습니다.
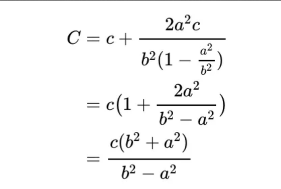
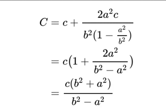
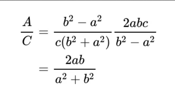
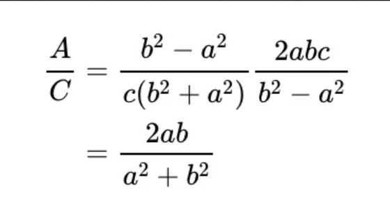
이때, 닮은꼴 삼각형 전체의 변 A의 길이는 초항 「(2a2c)/b2」・공비「a2/b2」 의 등비급수의 합이 되어, 아래와 같이 나타낼 수 있습니다.

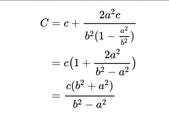
또한 직선 C도 마찬가지로 다음과 같이 표시됩니다.

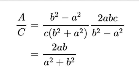
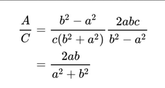
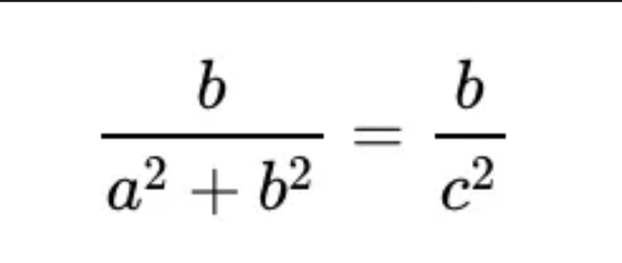
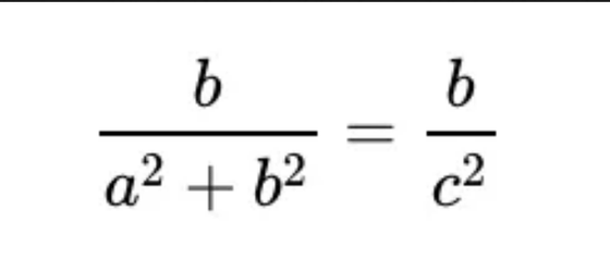
여기에 표시된 A와 C의 비율을 계산하면 다음과 같이 되고, 삼각 함수에서는 「sinθ=θ의 대변/사변」으로 나타내므로, 원래의 그림으로부터 「직선 A/C=sin(2α)」라고 알 수 있습니다.

게다가, 원본 그림의 최초 직각 삼각형을 수평 방향으로 카피한 것에서, 2개의 직각 삼각형을 맞춘 하나의 삼각형은 이등변 삼각형이 되었습니다. 여기서, 증명에 피타고라스의 정리를 사용하지 않고, sin법칙을 이용해, 직선 A와 C의 비에 관한 식을 변환하면, 최종적으로 아래와 같은 식이 됩니다. a, b, c가 모두 0이 아니기 때문에 분자가 동일하면 분모가 동일해야 합니다.
따라서 「a2+b2=c2」가 구해집니다.

참고로, sin법칙이 뭐였는지 잘 기억이 안 나는 분들을 위해, sin법칙도 첨부합니다.
삼각형의 사인(sinθ)의 비는 3변의 길이의 비와 같다고 하는 것.
즉, △ABC에서 sinA : sinB : sinC = a : b : c가 성립합니다.

Hacker News에서도 이 증명에 대해 화제가 되고 있어, 「이 증명은 삼각형의 변의 비율로서 사인이나 코사인이 존재한다고 반증하고 있을 뿐, '증명에 삼각법을 사용한다'라는 문구는 오해를 부르는 표현입니다」 라고 지적하는 의견이 있는 한편, 「기존에는 사인의 법칙을 증명에 사용할 수 없다는 신념이 강해서, 피타고라스의 정리를 삼각법, 또는 사인이나 코사인을 이용해 증명하는 것은 불가능하다고 생각했었는데, 이것을 타파했기 때문에 창의적이고 예상치 못한 증거라고 생각합니다」라고 존슨 씨와 잭슨 씨의 증명의 무엇이 획기적이었는지를 두둔하는 코멘트도 있었습니다.
또한, 수학회에서는 전례 없는 남부 출신의 아프리카계 미국인 소녀 2명에 의한 증명이라는 것이 놀라움을 불러일으켰다는 것에 대해, 사회적 배경에 의해 학문이 저해되어서는 안 된다는 의견을 포함한 논의가 나온 것 외에, 「그들의 증명은 훌륭한 실적인 것은 틀림없지만, 맥널티 씨의 기사에서는, 그녀들이 유명한 사립 고등학교에 다닌다는 것을 언급하지 않았습니다. 이 실적에 대해 「학문에 도달하기 어려운 에리어로부터의 달성」이라는 스토리를 붙이는 것은 문제가 있다고 생각한다는 의견도 있었습니다.
'트렌드 이슈 · 토픽' 카테고리의 다른 글
| 「먹을 수 있는 배터리」가 등장 (0) | 2023.04.21 |
|---|---|
| MRI 해상도를 기존보다 6400만배 향상시키는 기술이 등장 (0) | 2023.04.21 |
| 곰돌이 푸우를 때리는 대만 흑곰 와펜의 판매가 급증 (0) | 2023.04.13 |
| "공공 스마트폰 충전 스테이션을 사용하지 마십시오"라고 FBI가 경고 (0) | 2023.04.12 |
| 다크웹 'Genesis Market'이 폐쇄되고, 119명이 체포 (0) | 2023.04.07 |
| 누구나 Bing 검색 결과를 수정하여 사용자의 Microsoft 365 데이터에 액세스할 수 있는 취약점 (0) | 2023.04.03 |
| 불과 1.8미터로 이륙하는 항공기 "STOL"의 영상이 압권 (0) | 2023.03.27 |
| 부정적이고 감정적인 제목의 인터넷 기사는 클릭하기 쉽다는 연구 결과 (0) | 2023.03.21 |